Contact Us
Close panel
Call us now !
Send us an email
Find us on the map
greatnorthwestmusic.com
Home
About Us
Music Lessons
Our Teachers
Private Lessons
Classes
Music Lesson Calendar
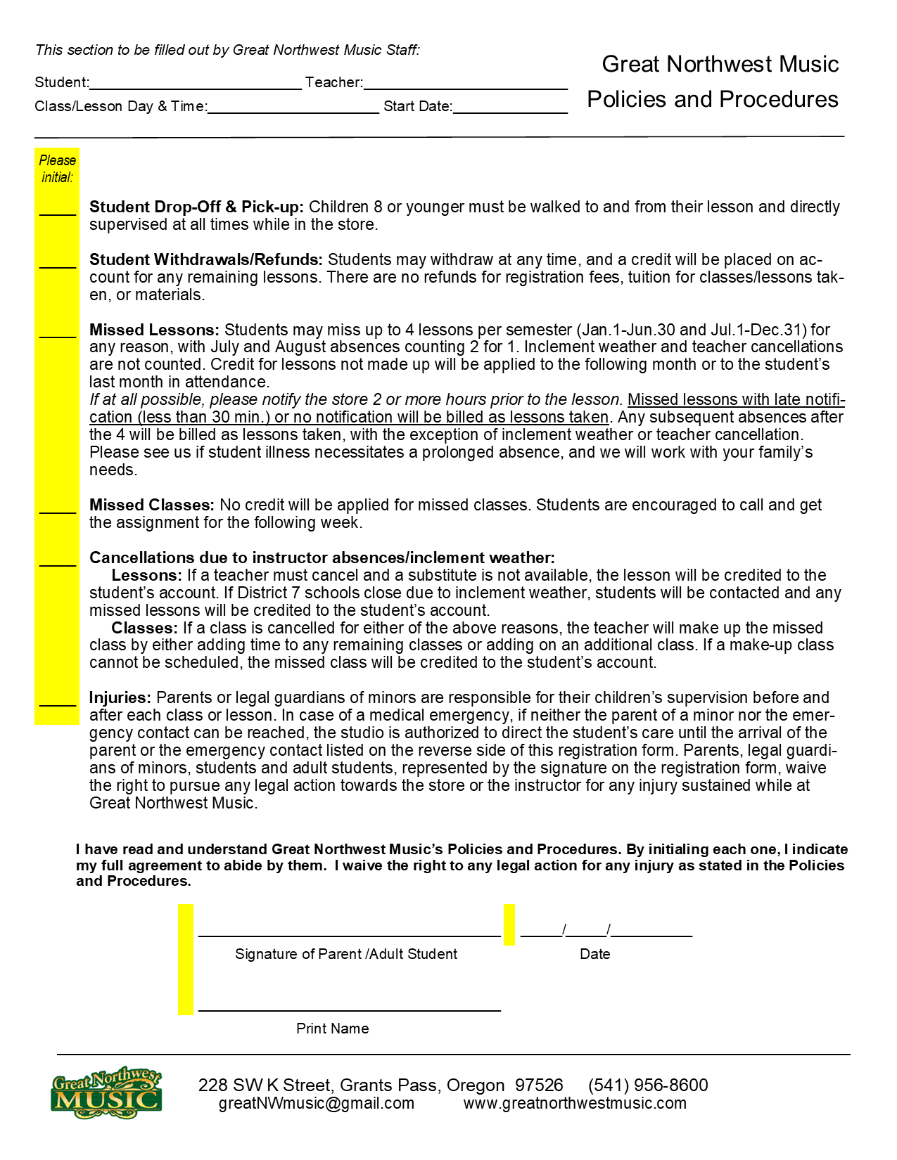
Registration Form
Sales and Service
Instrument Rentals
Contact Us
Searching
Download our Registration Form here:
Download File